新闻中心

汽车筒式减振器台架试验方法(一)
信息来源:玉环华科设备制造有限公司信息中心      发布时间2012/12/17
中华人民共和国机械工业部部标准  QC/T 5451999
汽车筒式减振器 台架试验方法  代替JB 3901—85
 
本标准适用于汽车悬架用筒式减振器的台架试验。
1 示功试验
11 目的:测取试件的示功图和速度图。
12 设备:按本标准附录A 规定的减振器试验台。
13 条件:
131 试件温度: 20±2℃。
132 试件试验行程S:(100±1)mm。
133 试件频率n:(100±2)c、p、m。
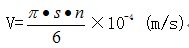
134 速度V:根据1.3.2 和1.3.3 并由下式决定的减振器活塞速度。
在减振器行程较小,不宜选用100mm的试验行程时由制造厂与用户商定试验速度值。
135 方向,铅垂方向。
136 位置:大致在减振器行程的中间部分。
14 试验方法
141 定期按本标准附录B 的试验台标定方法取得测力元件标定常数1(N/mm)。
142 按1.3 加振,在试件往复3~5 次内记录示功图。
143 在不装试件时,画出基准线。
15 阻力计算:参见图1
图1
Pf = a·l
Py = b·l
式中:Pf---复原阻力,N;
         Py---压缩阻力,N;
         a、b---分别为示功图复原部分(f)和压缩部分(y)与基准线间的最大距离,mm;
         l---试验台测力元件的标定常数,N/mm;
2 速度特性试验
21 目的:检测减振器在不同活塞速度下的阻力,取得试件的速度特性。
22 设备:按标准附录A 规定的减振器示功试验台,配以相应的电测量装置。
23 条件:
231 试件温度: 20±2℃
232 试件试验行程S:20~100mm
233 速度:V
234 方向:铅垂方向。
235 位置:大致在减振器行程的中间部分。
24 试验方法:
制造厂或研制单位可根据具体情况选用下述方法之一。
241 直接记录法:
在标准附录A规定的试验台上,采用相应的电测量装置,利用传感元件取得减振器活塞速度和相应的阻力信号;将该两信号同时输入记录装置而直接获得减振器的速度特性。
速度特性曲线如图2 所示。
图2
242 多工况合成法
根据2.3.3 可以变化行程(S),或频率(n)之一,而取得变化的速度值(V),及相应工况下的阻力(P)形成速度特性的若干点,最终光滑连接构成速度特性P—V 的试验曲线。
2421 固定行程,变化频率时:
每个测点工况皆按本标准1.4 实施。
最后如图3 所示取得试验速度特性P—V 曲线:
图3
2422 固定频率变化行程时:
每个测点工况皆按本标准1.4 实施。
最后如图4 所示取得试验速度特性:
图4
玉环华科设备制造有限公司  Copyright 2010  地址:玉环县机电工业园区人民塘路三路
联系电话:(86)576-87568515  传真:(86)576-87551797  浙ICP备06041746号  技术支持:百度台州地区营销服务中心